喜报 | 大满贯!
近日,省共青团公布了2021年“全省优秀共青团干部”、“全省优秀共青团团员”名单。软件与物联网工程学院团委书记廖波获评“全省优秀共青团干部”(全校仅两人)!软件与物联网工程学院软件工程192班副班长闵建文获评“全省优秀共青团团员”(全校仅五人)!
而昨天,校团委也正式公布了“江西财经大学 2021-2022 学年共青团先进集体和个人”的名单。其中,软件学院获评“五四红旗团委”、“江财共青团品牌项目建设贡献奖”;软件192班获评“五四红旗团支部”;软件学院廖波获“五四青年奖章”、软件学院吴小湖获评“优秀教师团干”;软件学院张亮获评“优秀团干标兵”、软件学院刘均鹏获评“最美团支书”。







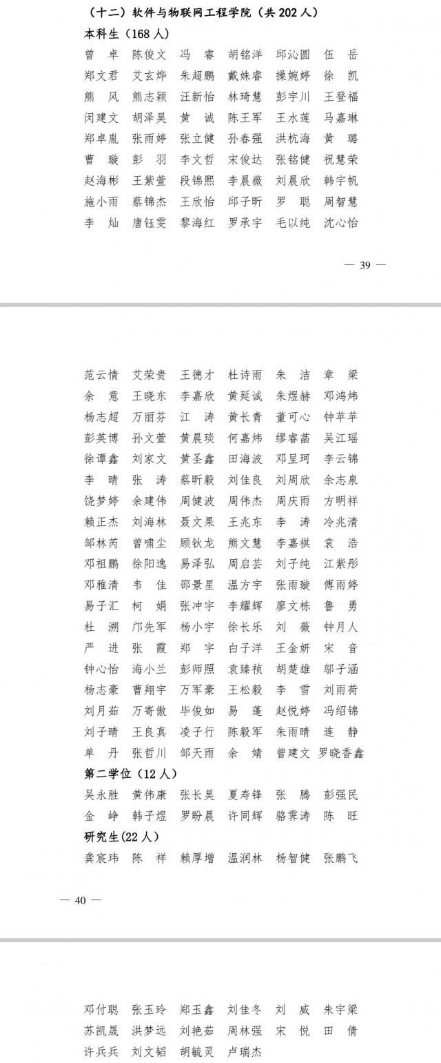
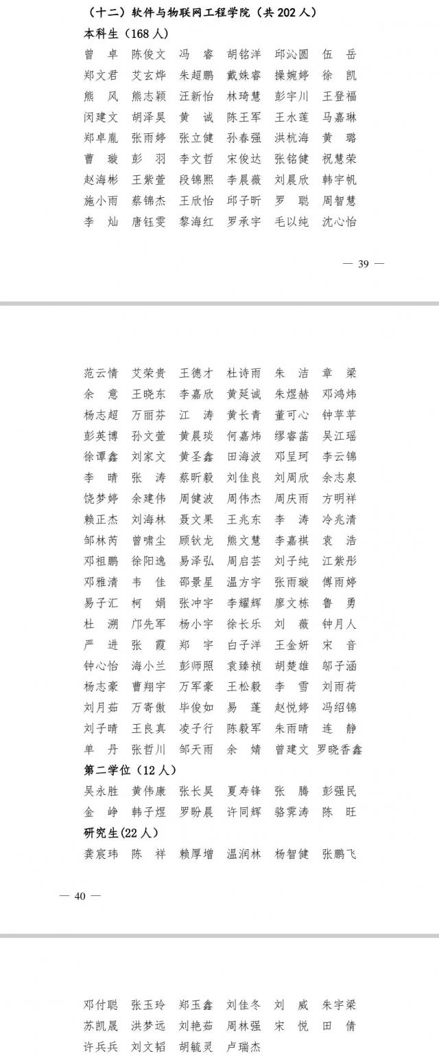
软件学院共 10个团支部获评“优秀团支部”、“优秀团员”获评人数202人、“优秀团干”获评人数142人。




前进就会有回报,
努力值得被肯定。
一载拼搏,佳绩频频。
望来日,再创新高!
作者:朱宗旭 作者单位:软件与物联网工程学院
信息员:朱宗旭 联系方式:13617931361
